Your Pola bilangan fibonacci images are ready in this website. Pola bilangan fibonacci are a topic that is being searched for and liked by netizens now. You can Download the Pola bilangan fibonacci files here. Get all free images.
If you’re searching for pola bilangan fibonacci pictures information connected with to the pola bilangan fibonacci topic, you have pay a visit to the right blog. Our website frequently gives you hints for seeing the maximum quality video and picture content, please kindly hunt and locate more informative video content and graphics that fit your interests.
Pola Bilangan Fibonacci. Gambar pertama dan kedua di atas masing-masing menunjukkan banyaknya cabang pohon dan banyaknya dahan berpola 1 2 3 5 8 13. Un Un-2 Un-1 yang berarti item ke-n adalah jumlah dari dua item sebelumnya. Fibonacci adalah suatu barisan bilangan yang merupakan hasil penjumlahan dua bilangan sebelumnya ditemukan oleh Leonardo da Pisa atau dikenal dengan Fibonacci. Menentukan pola bilangan berikutnyaSem.
Pola Bilangan Fibonacci Saintif From saintif.com
Bilangan Fibonacci ini menunjukkan beberapa fakta aneh. Saya yakin sudah familiar dengan bilangan Fibonacci atau disebut juga deret fibonacci. Pola bilangan aritmatika merupakan barisan aritmatika yang memiliki selisih dua suku. Deret bilangan fibonacci adalah serangkaian deret angka sederhana yang susunan angkanya merupakan penjumlahan dari dua angka sebelumnya 01123581321dst rumus deret Fibonacci bisa ditulis sebagai berikut Un Un-2 Un-1 artinya suku ke-n perupakan penjumlahan dari dua suku sebelumnya. Rumus untuk mencari suku. Di dunia barat barisan ini pertama kali dipelajari oleh Leonardo da Pisa yang juga dikenal sebagai Fibonacci.
Suatu pola bilangan yang sederhana pada matematika tetapi ajaibnya pola tersebut banyak muncul di alam.
Pola ini diperoleh dari penjumlahan dua bilangan sebelumnya. Berikut rumus pola bilangan Fibonacci suku ke n. Biasanya bilangan fibonacci digambarkan seperti di bawah ini. Peru kalian ketahui bahwa 2 didapat dari hasil 11 kemudian 3 didapat dari hasil 12 5 didapat dari hasil 23 dan seterusnya seperti itu. Pola Bilangan Fibonacci Bilangan Fibonacci ditemukan oleh seorang ilmuwan asal Italia bernama Leonardo Da Pisa Leonardo FibonacciFibonacci pada sekitar tahun 1200. Pola bilangan fibonacci Urutan angka Fibonacci adalah urutan angka yang sederhana.
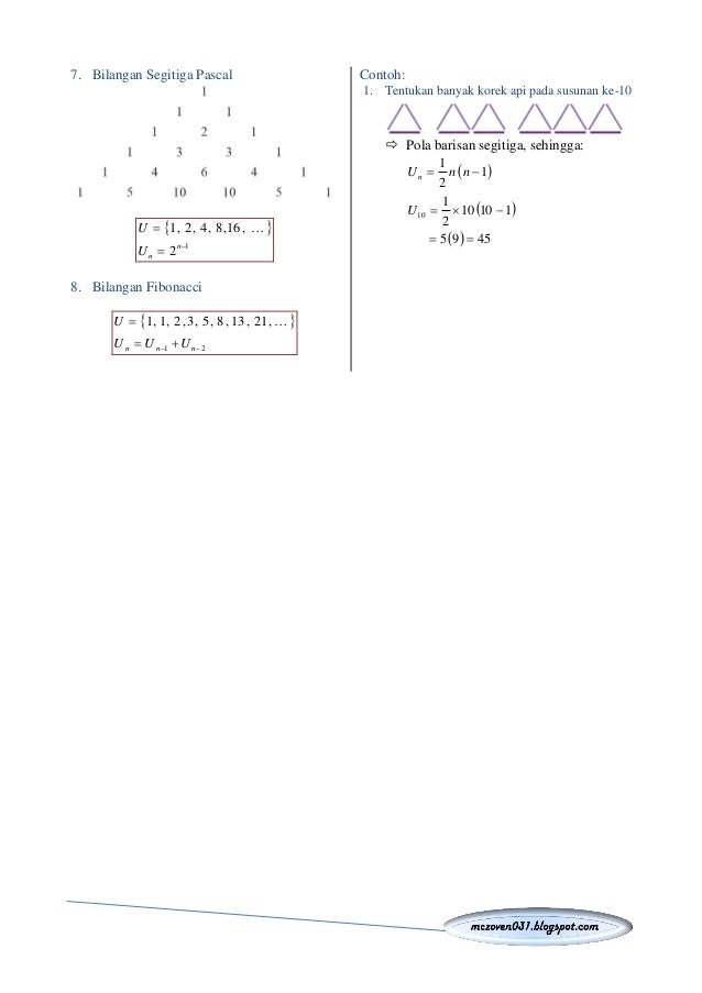
Source: idschool.net
Deret bilangan fibonacci adalah serangkaian deret angka sederhana yang susunan angkanya merupakan penjumlahan dari dua angka sebelumnya 01123581321dst rumus deret Fibonacci bisa ditulis sebagai berikut Un Un-2 Un-1 artinya suku ke-n perupakan penjumlahan dari dua suku sebelumnya. Bilangan Fibonacci ini menunjukkan beberapa fakta aneh. Menentukan pola bilangan berikutnyaSem. Susunan angka adalah rumus urutan angka Fibonacci yang bisa menjadi penjumlahan dari dua angka pertama 0 1 2 3 5 8 13 21 dst. Bilangan Fibonacci juga dapat diamati di alam seperti pada pertumbuhan dahan dan daun tanaman mahkota bunga petals dan pola bungabuah.
Source: rumusrumus.com
Di sana kamu bisa belajar sekaligus latihan soal-soal. Fibonacci rumus binet dan aljabar linier. Anda menjumpai deret dan rasio emas di bidang-bidang yang termasuk dalam ruang lingkup fisika. Fibonacci adalah suatu barisan bilangan yang merupakan hasil penjumlahan dua bilangan sebelumnya ditemukan oleh Leonardo da Pisa atau dikenal dengan Fibonacci. Berdasarkan buku The Art of Computer Programming karya Donald E.
Source: id.quora.com
Pola Bilangan Persegi Panjang. Bilangan Fibonacci ini menunjukkan beberapa fakta aneh. Suatu pola bilangan yang sederhana pada matematika tetapi ajaibnya pola tersebut banyak muncul di alam. Fibonacci rumus binet dan aljabar linier. Fibonacci adalah suatu barisan bilangan yang merupakan hasil penjumlahan dua bilangan sebelumnya ditemukan oleh Leonardo da Pisa atau dikenal dengan Fibonacci.
Source: brainly.co.id
RUMUS POLA BILANGAN ADALAH - Materi makalah macam macam pola bilangan segitiga pascal persegi panjang ganjil genap fibonacci serta contoh soalnya. Un Un-2 Un-1 yang berarti item ke-n adalah jumlah dari dua item sebelumnya. Penjumlahan dua suku sebelumnya dari bilangan Fibonacci dirumuskan sebagai berikut. Barisan bilangan Fibonacci pada Pertumbuhan Tanaman. Pola bilangan fibonacci yaitu 1123581321 dan seterusnya.
Source: id.wikipedia.org
Peru kalian ketahui bahwa 2 didapat dari hasil 11 kemudian 3 didapat dari hasil 12 5 didapat dari hasil 23 dan seterusnya seperti itu. Pola Bilangan Fibonacci. Selain itu waktu belajar kamu. Yang dimaksud pola bilangan fibonacci adalah sebuah bilangan yang setiap sukunya adalah penjumlahan dari dua suku yang ada di depannya. F n 1 F n 1 F n.
Source:
Pola Bilangan Fibonacci. F n 1 F n 1 F n. Deret bilangan fibonacci adalah serangkaian deret angka sederhana yang susunan angkanya merupakan penjumlahan dari dua angka sebelumnya 01123581321dst rumus deret Fibonacci bisa ditulis sebagai berikut Un Un-2 Un-1 artinya suku ke-n perupakan penjumlahan dari dua suku sebelumnya. Bilangan Fibonacci ini menunjukkan beberapa fakta aneh. Bilangan Fibonacci juga dapat diamati di alam seperti pada pertumbuhan dahan dan daun tanaman mahkota bunga petals dan pola bungabuah.
Source: lincahmatematika.blogspot.com
Sebenarnya macam-macam pola bilangan masih banyak lagi lho seperti pola bilangan Fibonacci pola bilangan pangkat tiga pola bilangan aritmatika pola bilangan geometri dan lain-lain. Un Un-2 Un-1 yang berarti item ke-n adalah jumlah dari dua item sebelumnya. Menentukan pola bilangan berikutnyaSem. Rumus untuk mencari suku. 0 1 1.
Source: zenius.net
Pola bilangan Fibonacci adalah suatu pola di mana suku ke-n barisan itu merupakan jumlah dari dua suku sebelumnya yaitu suku ke-n-1 dan suku ke-n-2. Saya yakin sudah familiar dengan bilangan Fibonacci atau disebut juga deret fibonacci. Untuk menghitung angka pada barisan n pola Fibonacci dapat menggunakan rumus khusus agar lebih mudah. Bilangan Fibonacci ini menunjukkan beberapa fakta aneh. Un Un-2 Un-1 yang berarti item ke-n adalah jumlah dari dua item sebelumnya.
Source: timeless-signs.blogspot.com
Bilangan Fibonacci ini menunjukkan beberapa fakta aneh. Un Un-2 Un-1 yang berarti item ke-n adalah jumlah dari dua item sebelumnya. RUMUS POLA BILANGAN ADALAH - Materi makalah macam macam pola bilangan segitiga pascal persegi panjang ganjil genap fibonacci serta contoh soalnya. Pada video kali ini saya membahas mengenai1. Pola Bilangan Fibonacci Bilangan Fibonacci ditemukan oleh seorang ilmuwan asal Italia bernama Leonardo Da Pisa Leonardo FibonacciFibonacci pada sekitar tahun 1200.
Source: id.wikipedia.org
Pola ini diperoleh dengan menjumlahkan dua suku yang ada di depannya. Berdasarkan buku The Art of Computer Programming karya Donald E. Video pembelajaran ini berisi materi pembelajaran pola bilangan fibonacci. Kalau kamu mau tau lagi tentang macam-macam pola bilangan lainnya kamu bisa nih belajar melalui video animasi di ruangbelajar. Anda menjumpai deret dan rasio emas di bidang-bidang yang termasuk dalam ruang lingkup fisika.
Source: slideshare.net
Gambar pertama dan kedua di atas masing-masing menunjukkan banyaknya cabang pohon dan banyaknya dahan berpola 1 2 3 5 8 13. Pola bilangan fibonacci yaitu 1123581321 dan seterusnya. Terdapat barisan bilangan sebagai berikut. Knuth barisan ini pertama kali dijelaskan oleh matematikawan India Gopala dan Hemachandra pada tahun 1150 ketika menyelidiki berbagai kemungkinan untuk memasukkan barang-barang ke dalam kantong. Biasanya bilangan fibonacci digambarkan seperti di bawah ini.
Source: imamfarisi.com
- Menurut sebuah penelitian yang dilakukan sepasang Kelinci berkembang biak dengan pola deret angka Fibonacci ini. 0 1 1. Gambar pertama dan kedua di atas masing-masing menunjukkan banyaknya cabang pohon dan banyaknya dahan berpola 1 2 3 5 8 13. Pola bilangan fibonacci Urutan angka Fibonacci adalah urutan angka yang sederhana. Pola bilangan Fibonacci adalah suatu pola di mana suku ke-n barisan itu merupakan jumlah dari dua suku sebelumnya yaitu suku ke-n-1 dan suku ke-n-2.
Source: idntimes.com
0 1 1. Di dunia barat barisan ini pertama kali dipelajari oleh Leonardo da Pisa yang juga dikenal sebagai Fibonacci. Pola ini diperoleh dari penjumlahan dua bilangan sebelumnya. Rumus pola bilangan ini adalah Un Un-1 Un-2. Terdapat barisan bilangan sebagai berikut.
Source: saintif.com
Rumus eksplisit sukuk e-n dari barisan Fibonacci yaitu. Rumus eksplisit sukuk e-n dari barisan Fibonacci yaitu. Berikut rumus pola bilangan Fibonacci suku ke n. Saya yakin sudah familiar dengan bilangan Fibonacci atau disebut juga deret fibonacci. Un Un-2 Un-1 yang berarti item ke-n adalah jumlah dari dua item sebelumnya.
Source: hindayani.com
Gambar pertama dan kedua di atas masing-masing menunjukkan banyaknya cabang pohon dan banyaknya dahan berpola 1 2 3 5 8 13. Di sana kamu bisa belajar sekaligus latihan soal-soal. Rumus untuk mencari suku. Contoh bilangannya adalah 1 1 2 3 5 8 13 21 dan seterusnya. Deret bilangan fibonacci adalah serangkaian deret angka sederhana yang susunan angkanya merupakan penjumlahan dari dua angka sebelumnya 01123581321dst rumus deret Fibonacci bisa ditulis sebagai berikut Un Un-2 Un-1 artinya suku ke-n perupakan penjumlahan dari dua suku sebelumnya.
Source: slideshare.net
Jumlah Daun pada Bunga petals. Yang dimaksud pola bilangan fibonacci adalah sebuah bilangan yang setiap sukunya adalah penjumlahan dari dua suku yang ada di depannya. Terdapat barisan bilangan sebagai berikut. Susunan angka adalah rumus urutan angka Fibonacci yang bisa menjadi penjumlahan dari dua angka pertama 0 1 2 3 5 8 13 21 dst. Bilangan Fibonacci ini menunjukkan beberapa fakta aneh.
Source: brainly.co.id
Susunan angka adalah rumus urutan angka Fibonacci yang bisa menjadi penjumlahan dari dua angka pertama 0 1 2 3 5 8 13 21 dst. Video pembelajaran ini berisi materi pembelajaran pola bilangan fibonacci. Penjumlahan dua suku sebelumnya dari bilangan Fibonacci dirumuskan sebagai berikut. RUMUS POLA BILANGAN ADALAH - Materi makalah macam macam pola bilangan segitiga pascal persegi panjang ganjil genap fibonacci serta contoh soalnya. Rumus eksplisit sukuk e-n dari barisan Fibonacci yaitu.
Source: majalahpendidikan.com
Terdapat barisan bilangan sebagai berikut. Selain itu waktu belajar kamu. Suatu pola bilangan yang sederhana pada matematika tetapi ajaibnya pola tersebut banyak muncul di alam. Contoh bilangannya adalah 1 1 2 3 5 8 13 21 dan seterusnya. Pola bilangan fibonacci Urutan angka Fibonacci adalah urutan angka yang sederhana.
This site is an open community for users to share their favorite wallpapers on the internet, all images or pictures in this website are for personal wallpaper use only, it is stricly prohibited to use this wallpaper for commercial purposes, if you are the author and find this image is shared without your permission, please kindly raise a DMCA report to Us.
If you find this site value, please support us by sharing this posts to your favorite social media accounts like Facebook, Instagram and so on or you can also bookmark this blog page with the title pola bilangan fibonacci by using Ctrl + D for devices a laptop with a Windows operating system or Command + D for laptops with an Apple operating system. If you use a smartphone, you can also use the drawer menu of the browser you are using. Whether it’s a Windows, Mac, iOS or Android operating system, you will still be able to bookmark this website.




